{{ 'fb_in_app_browser_popup.desc' | translate }} {{ 'fb_in_app_browser_popup.copy_link' | translate }}

{{ 'in_app_browser_popup.desc' | translate }}

你的購物車是空的
{{ (item.variation.media ? item.variation.media.alt_translations : item.product.cover_media.alt_translations) | translateModel }} {{ (item.variation.media
                    ? item.variation.media.alt_translations
                    : item.product.cover_media.alt_translations) | translateModel
                }}
{{ 'product.bundled_products.label' | translate }}
{{ 'product.bundle_group_products.label' | translate }}
{{ 'product.buyandget.label' | translate }}
{{ 'product.gift.label' | translate }}
{{ 'product.addon_products.label' | translate }}
{{item.product.title_translations|translateModel}}
{{ field.name_translations | translateModel }}
  • {{ childProduct.title_translations | translateModel }}

    {{ getChildVariationShorthand(childProduct.child_variation) }}

{{ 'product.set.open_variation' | translate }}
  • {{ getSelectedItemDetail(selectedChildProduct, item).childProductName }} x {{ selectedChildProduct.quantity || 1 }}

    {{ getSelectedItemDetail(selectedChildProduct, item).childVariationName }}

{{item.variation.name}}
{{item.quantity}}x HK$0 {{ item.unit_point }} 點
{{addonItem.product.cover_media.alt_translations | translateModel}}
{{ 'product.addon_products.label' | translate }}
{{addonItem.product.title_translations|translateModel}}
{{addonItem.quantity}}x {{ mainConfig.merchantData.base_currency.alternate_symbol + "0" }}
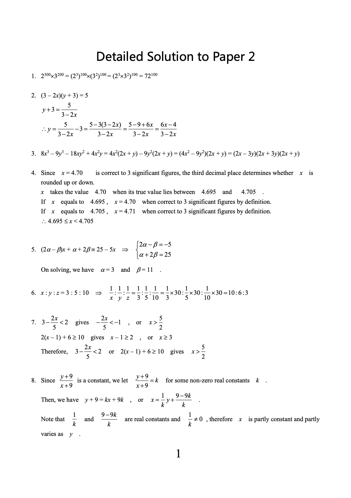
Zero Hour Mock Series - HKDSE Mathematics Mock Exam Papers (Compulsory Part) 5

Zero Hour Mock Series - HKDSE Mathematics Mock Exam Papers (Compulsory Part) 5

全店,訂單滿HK$500免運費優惠(只限香港本地送貨)

{{ productService.variationPriceMemberTag(variationSelected) }}
{{shoplineProductReview.avg_score}} {{'product.product_review.stars' | translate}} | {{shoplineProductReview.total}} {{'product.product_review.reviews' | translate}}
{{amazonProductReview.avg_rating}} {{'product.product_review.stars' | translate}} | {{amazonProductReview.total_comment_count}} {{'product.product_review.reviews' | translate}}
{{ title.name_translations | translateModel }} : {{variationName[$index] | translateModel}}
數量
products.quantity_limit99999
該數量不適用,請填入有效的數量。
售完

商品存貨不足,未能加入購物車

您所填寫的商品數量超過庫存

{{'products.quick_cart.out_of_number_hint'| translate}}

{{'product.preorder_limit.hint'| translate}}

每筆訂單限購 -1 件

{{'products.quick_cart.quantity_of_stock_hint'| translate : {message: quantityOfStock} }}

若想購買,請聯絡我們。
商品描述
Zero Hour Mock Series》包括一系列難度循序漸進的數學模擬試卷:


⚡️ 優惠套裝⚡️ 
同時購買以上模擬試卷,更可享套裝優惠!按以下連結了解更多:

——————

About the book
* Comprehensive Exam Practice for the HKDSE
* 1 Set of Paper 1 & Paper 2 Mock Papers with Answers
* Master Tricky Questions & Avoid Common Mistakes
Detailed Answers & Step-by-Step Solutions

——————

About the Author - ACME Books
Eric Sir, Your Trusted Exam Strategist

💯 Academic Excellence:
Eric Sir boasts a Bachelor of Business Administration (BBA) from the Hong Kong University of Science and Technology (HKUST), where he ranked on the Dean's List for outstanding academic performance.

🧑🏻‍🏫 Subject Matter Expert:
With top grades in HKALE Pure Mathematics, Physics and Chemistry, coupled with straight A's in university-level Mathematics and Chemistry courses, Eric Sir brings a depth of expertise and a rigorous analytical approach to his question design.

💫 Transform Challenges into High Scores:
Eric Sir's unique insights and meticulous preparation strategies are encapsulated in this mock exam set. Designed with challenging and tricky questions, these papers help students turn potential stumbling blocks into opportunities for easy marks.


——————

資源類別:
模擬試卷

模擬試卷語言:
只有英文版

模擬試卷規格:
只有實體版

模擬試卷頁數:
共76頁
了解更多
送貨及付款方式

送貨方式

  • 順豐智能櫃取件*
  • 順豐站取件*
  • 順豐營業點取件*
  • 順豐送貨上門*
  • OK便利店取件(經順豐速運)*

付款方式

  • 支付寶 Alipay HK
  • 信用卡
  • PayMe
  • 八達通
  • 網上轉帳 (轉數快 (FPS)、銀行網上轉帳或 PayMe
  • 銀行入數(線下付款)
  • 支付寶(中國)
  • 微信支付
顧客評價
尚未有任何評價

相關產品