{{ 'fb_in_app_browser_popup.desc' | translate }} {{ 'fb_in_app_browser_popup.copy_link' | translate }}

{{ 'in_app_browser_popup.desc' | translate }}

你的購物車是空的
{{ (item.variation.media ? item.variation.media.alt_translations : item.product.cover_media.alt_translations) | translateModel }} {{ (item.variation.media
                    ? item.variation.media.alt_translations
                    : item.product.cover_media.alt_translations) | translateModel
                }}
{{ 'product.bundled_products.label' | translate }}
{{ 'product.bundle_group_products.label' | translate }}
{{ 'product.buyandget.label' | translate }}
{{ 'product.gift.label' | translate }}
{{ 'product.addon_products.label' | translate }}
{{item.product.title_translations|translateModel}}
{{ field.name_translations | translateModel }}
  • {{ childProduct.title_translations | translateModel }}

    {{ getChildVariationShorthand(childProduct.child_variation) }}

{{ 'product.set.open_variation' | translate }}
  • {{ getSelectedItemDetail(selectedChildProduct, item).childProductName }} x {{ selectedChildProduct.quantity || 1 }}

    {{ getSelectedItemDetail(selectedChildProduct, item).childVariationName }}

{{item.variation.name}}
{{item.quantity}}x HK$0 {{ item.unit_point }} 點
{{addonItem.product.cover_media.alt_translations | translateModel}}
{{ 'product.addon_products.label' | translate }}
{{addonItem.product.title_translations|translateModel}}
{{addonItem.quantity}}x {{ mainConfig.merchantData.base_currency.alternate_symbol + "0" }}
Simply mock - HKDSE Mathematics - Compulsory Part(Joint Us)

Simply mock - HKDSE Mathematics - Compulsory Part(Joint Us)

全店,訂單滿HK$500免運費優惠(只限香港本地送貨)

指定分類,任選 Joint-Us 產品⁠⁠購物滿 $500,即享9折優惠

{{ productService.variationPriceMemberTag(variationSelected) }}
{{shoplineProductReview.avg_score}} {{'product.product_review.stars' | translate}} | {{shoplineProductReview.total}} {{'product.product_review.reviews' | translate}}
{{amazonProductReview.avg_rating}} {{'product.product_review.stars' | translate}} | {{amazonProductReview.total_comment_count}} {{'product.product_review.reviews' | translate}}
{{ title.name_translations | translateModel }} : {{variationName[$index] | translateModel}}
數量
一次最大商品購買數量限制為 99999
該數量不適用,請填入有效的數量。
售完

商品存貨不足,未能加入購物車

您所填寫的商品數量超過庫存

{{'products.quick_cart.out_of_number_hint'| translate}}

{{'product.preorder_limit.hint'| translate}}

每筆訂單限購 {{ product.max_order_quantity }} 件

現庫存只剩下 {{ quantityOfStock }} 件

若想購買,請聯絡我們。
商品描述

本產品是文憑試 DSE適用的Simply mock - HKDSE Mathematics - Compulsory Part
書內使用語言:英文
釘裝方法:活頁釘裝
產品尺寸:A4 (210x297)
產品類別:模擬試題練習

Features of the Book
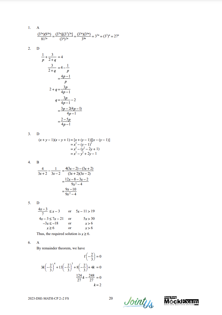
-Two Complete Sets of Mock Exam Papers: Includes both Paper 1 and Paper 2, providing comprehensive practice opportunities. These question papers align with the most recent HKDSE formats and cover all common topics, including some of the more demanding question types.
-Detailed Marking Schemes: Provides marking schemes for Paper 1, including alternative answers for selected questions. This feature helps students understand different approaches to solving problems and grasp the fine line between gaining and losing marks when marking their own answers.
-Worked Steps for All MC Questions: Each multiple-choice question in Paper 2 is accompanied by detailed, step-by-step solutions that demonstrates how to obtain the final answer from the given conditions. This thorough explanation not only makes complex problems easier to understand but also clarifies reasoning and illustrates problem-solving techniques.
-Analysis of Common Errors: Identifies frequent mistakes made by candidates who have taken the mock exam. Explanations are provided to help learners understand and avoid these pitfalls, thus improving their own exam performance.
-Insightful Data Analysis: Features distributions and statistics derived from the performance data of candidates who have taken the mock exam. This analysis allows students to estimate whether they can outperform their peers, thereby aiding in the development of targeted study strategies.


出版社:
Hong Kong Joint-Us Press Ltd.

重量 (g):
655.00g

尺寸(mm):
210x297mm

國際書號:
9789887639701

了解更多
送貨及付款方式

送貨方式

  • 順豐智能櫃取件*
  • 順豐站取件*
  • 順豐營業點取件*
  • 順豐送貨上門*
  • 7-11便利店取件(經順豐速運)*
  • OK便利店取件(經順豐速運)*

付款方式

  • 支付寶 Alipay HK
  • 信用卡
  • PayMe
  • 八達通
  • 網上轉帳 (轉數快 (FPS)、銀行網上轉帳或 PayMe
  • 銀行入數(線下付款)
  • 支付寶(中國)
  • 微信支付
顧客評價
{{'product.product_review.no_review' | translate}}

相關產品