{{ 'fb_in_app_browser_popup.desc' | translate }} {{ 'fb_in_app_browser_popup.copy_link' | translate }}

{{ 'in_app_browser_popup.desc' | translate }}

你的購物車是空的
{{ (item.variation.media ? item.variation.media.alt_translations : item.product.cover_media.alt_translations) | translateModel }} {{ (item.variation.media
                    ? item.variation.media.alt_translations
                    : item.product.cover_media.alt_translations) | translateModel
                }}
{{ 'product.bundled_products.label' | translate }}
{{ 'product.bundle_group_products.label' | translate }}
{{ 'product.buyandget.label' | translate }}
{{ 'product.gift.label' | translate }}
{{ 'product.addon_products.label' | translate }}
{{item.product.title_translations|translateModel}}
{{ field.name_translations | translateModel }}
  • {{ childProduct.title_translations | translateModel }}

    {{ getChildVariationShorthand(childProduct.child_variation) }}

{{ 'product.set.open_variation' | translate }}
  • {{ getSelectedItemDetail(selectedChildProduct, item).childProductName }} x {{ selectedChildProduct.quantity || 1 }}

    {{ getSelectedItemDetail(selectedChildProduct, item).childVariationName }}

{{item.variation.name}}
{{item.quantity}}x HK$0 {{ item.unit_point }} 點
{{addonItem.product.cover_media.alt_translations | translateModel}}
{{ 'product.addon_products.label' | translate }}
{{addonItem.product.title_translations|translateModel}}
{{addonItem.quantity}}x {{ mainConfig.merchantData.base_currency.alternate_symbol + "0" }}
DSE Mathematics - Module 1 Related Past Papers Suggested Solution (英文版)(Joint Us)

DSE Mathematics - Module 1 Related Past Papers Suggested Solution (英文版)(Joint Us)

本書並無收錄試題題目,僅提供相關試題的參考答案。近年的試題可於考評局購買,早年的試題則可於學校圖書館或公共圖書館借閱。

The book does not include the actual exam questions but provides reference answers for related questions. Recent exam questions can be purchased from the HKEAA, while older exam questions can be borrowed from school or public libraries.


全店,訂單滿HK$500免運費優惠(只限香港本地送貨)

指定分類,任選 Joint-Us 產品⁠⁠購物滿 $500,即享9折優惠

{{ productService.variationPriceMemberTag(variationSelected) }}
{{shoplineProductReview.avg_score}} {{'product.product_review.stars' | translate}} | {{shoplineProductReview.total}} {{'product.product_review.reviews' | translate}}
{{amazonProductReview.avg_rating}} {{'product.product_review.stars' | translate}} | {{amazonProductReview.total_comment_count}} {{'product.product_review.reviews' | translate}}
{{ title.name_translations | translateModel }} : {{variationName[$index] | translateModel}}
數量
一次最大商品購買數量限制為 99999
該數量不適用,請填入有效的數量。
售完

商品存貨不足,未能加入購物車

您所填寫的商品數量超過庫存

{{'products.quick_cart.out_of_number_hint'| translate}}

{{'product.preorder_limit.hint'| translate}}

每筆訂單限購 {{ product.max_order_quantity }} 件

現庫存只剩下 {{ quantityOfStock }} 件

若想購買,請聯絡我們。
商品描述
DSE Mathematics - Module 1 Related Past Papers Suggested Solution (英文版)

樣本下載:按此

Detailed solutions to 
 [All questions] DSE Maths EP M1 (Sample Papers, Practice Papers, 2012-2023) in the book
 [Selected questions] CE Add Maths (Paper 1 1980-86, 88-93, 95-2000; Paper 2 1980-89, 91-2000; 2001-11)
 [Selected questions] AS Maths & Stat (1994-2013)
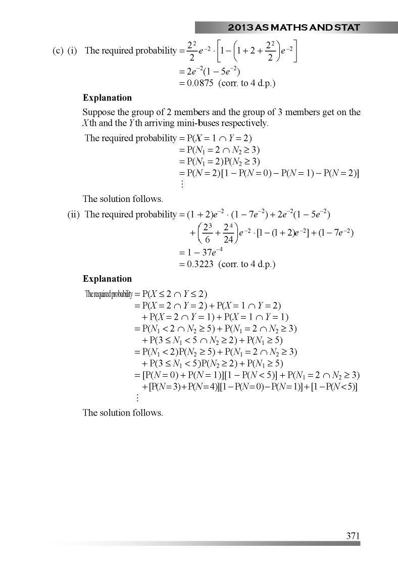
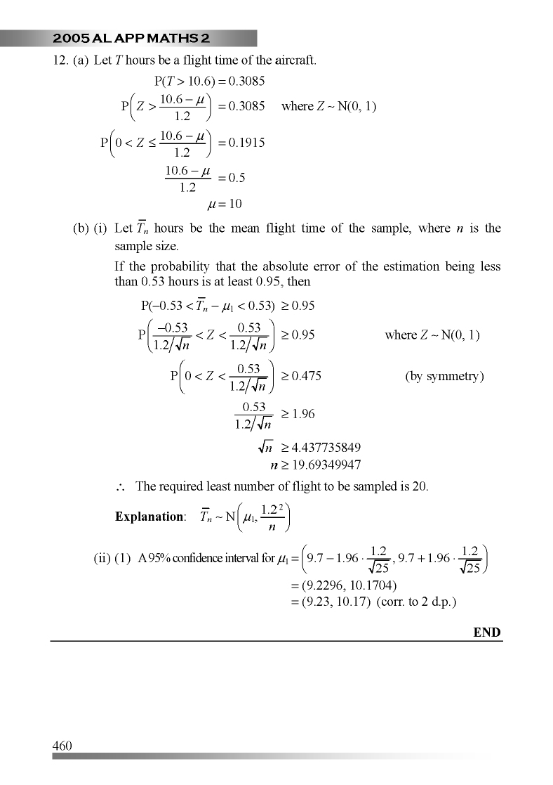
 [Selected questions] AL App Maths (Paper 2 1990-2013)
 [Selected questions] AL Pure Maths (Paper 1 1981-86, 88-90, 96, 98, 2000; Paper 2 1981, 83-91, 93-94, 96, 98-2001, 05-08, 10-13)

Features 
 Concise solution; further explanation to part of the questions for thorough understanding
 Different methods for part of the questions to build up problem-solving skills
 Past paper question distributions for DSE Maths EP M1, CE Add Maths, AS Maths & Stat, AL App Maths and AL Pure Maths

Note:
Question papers are NOT included in this solution. Question papers of recent years are available for sale at the HKEAA while question papers of early years are available for borrowing at school libraries and public libraries.

註:
本書並無收錄試題。近年的試題可於考評局購買,早年的試題則可於學校圖書館或公共圖書館借閱。

資源類別:
參考書

語言:
英文版

規格:
只有hard copy

參考書內頁:
黑白印刷

出版社:
Hong Kong Joint-Us Press

重量 (g):
570

尺寸(mm):
188.00mm x 130.00mm x 13.00mm

通用商品碼:
978988195947

國際書號:
9789881959478
了解更多
送貨及付款方式

送貨方式

  • 順豐智能櫃取件*
  • 順豐站取件*
  • 順豐營業點取件*
  • 順豐送貨上門*
  • 7-11便利店取件(經順豐速運)*
  • OK便利店取件(經順豐速運)*

付款方式

  • 支付寶 Alipay HK
  • 信用卡
  • PayMe
  • 八達通
  • 網上轉帳 (轉數快 (FPS)、銀行網上轉帳或 PayMe
  • 銀行入數(線下付款)
  • 支付寶(中國)
  • 微信支付
顧客評價
{{'product.product_review.no_review' | translate}}

相關產品