{{ 'fb_in_app_browser_popup.desc' | translate }} {{ 'fb_in_app_browser_popup.copy_link' | translate }}

{{ 'in_app_browser_popup.desc' | translate }}

你的購物車是空的
{{ (item.variation.media ? item.variation.media.alt_translations : item.product.cover_media.alt_translations) | translateModel }} {{ (item.variation.media
                    ? item.variation.media.alt_translations
                    : item.product.cover_media.alt_translations) | translateModel
                }}
{{ 'product.bundled_products.label' | translate }}
{{ 'product.bundle_group_products.label' | translate }}
{{ 'product.buyandget.label' | translate }}
{{ 'product.gift.label' | translate }}
{{ 'product.addon_products.label' | translate }}
{{item.product.title_translations|translateModel}}
{{ field.name_translations | translateModel }}
  • {{ childProduct.title_translations | translateModel }}

    {{ getChildVariationShorthand(childProduct.child_variation) }}

{{ 'product.set.open_variation' | translate }}
  • {{ getSelectedItemDetail(selectedChildProduct, item).childProductName }} x {{ selectedChildProduct.quantity || 1 }}

    {{ getSelectedItemDetail(selectedChildProduct, item).childVariationName }}

{{item.variation.name}}
{{item.quantity}}x HK$0 {{ item.unit_point }} 點
{{addonItem.product.cover_media.alt_translations | translateModel}}
{{ 'product.addon_products.label' | translate }}
{{addonItem.product.title_translations|translateModel}}
{{addonItem.quantity}}x {{ mainConfig.merchantData.base_currency.alternate_symbol + "0" }}
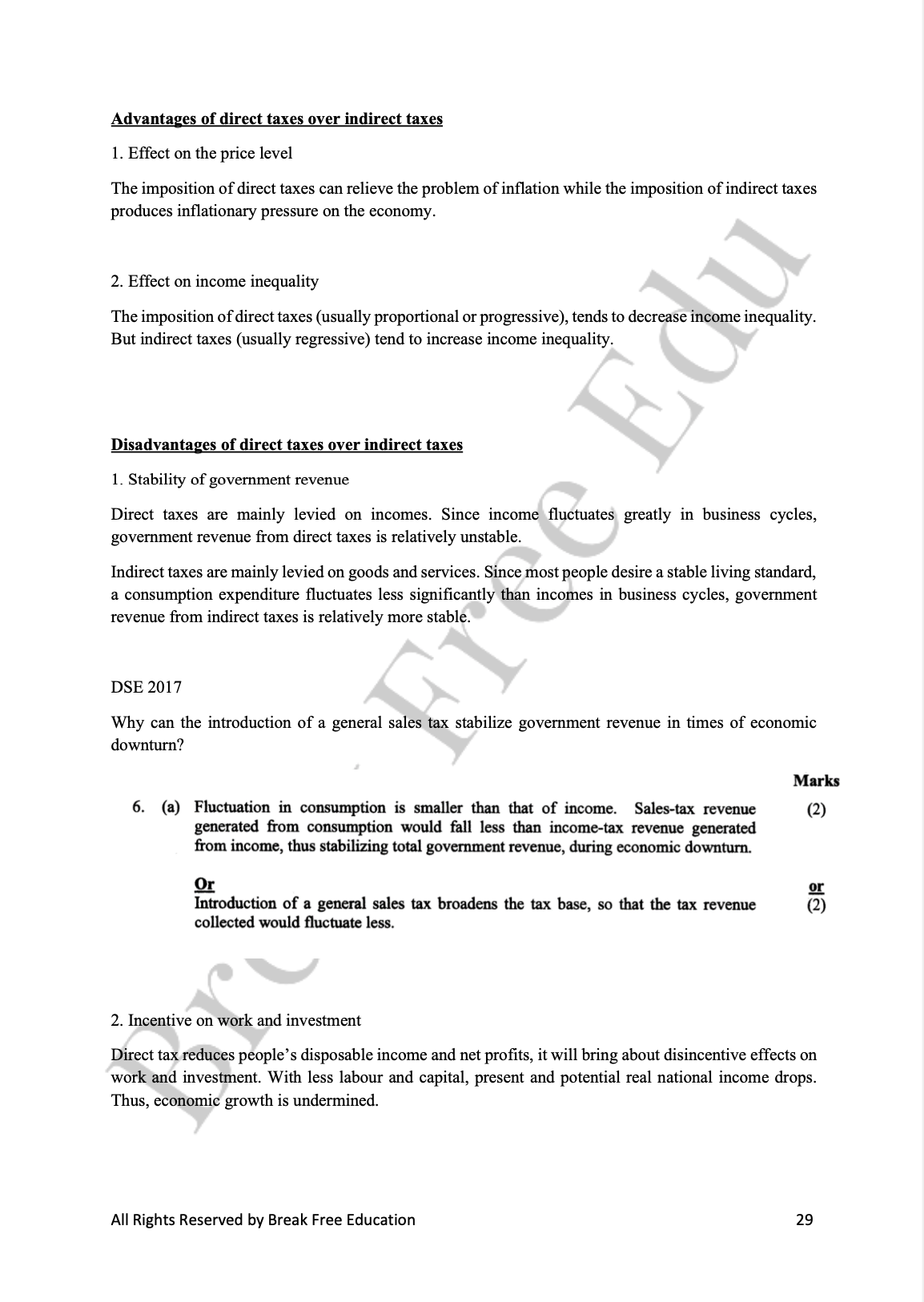
精選 DSE Econ Notes (Volume 4) by Breakfree Education

精選 DSE Econ Notes (Volume 4) by Breakfree Education

{{ productService.variationPriceMemberTag(variationSelected) }}
{{shoplineProductReview.avg_score}} {{'product.product_review.stars' | translate}} | {{shoplineProductReview.total}} {{'product.product_review.reviews' | translate}}
{{amazonProductReview.avg_rating}} {{'product.product_review.stars' | translate}} | {{amazonProductReview.total_comment_count}} {{'product.product_review.reviews' | translate}}
{{ title.name_translations | translateModel }} : {{variationName[$index] | translateModel}}
數量
一次最大商品購買數量限制為 99999
該數量不適用,請填入有效的數量。
售完

商品存貨不足,未能加入購物車

您所填寫的商品數量超過庫存

{{'products.quick_cart.out_of_number_hint'| translate}}

{{'product.preorder_limit.hint'| translate}}

每筆訂單限購 {{ product.max_order_quantity }} 件

現庫存只剩下 {{ quantityOfStock }} 件

若想購買,請聯絡我們。
商品描述
常見econ溫習困難😖

- 你有冇試過 consumer and producer surplus 唔識畫圖?
- 有冇試過 GDP GNP 分唔清同唔識計?
- 或者根本唔知道點樣答題目先至可以攞滿分?

我哋啲 notes 就幫到你喇~

——————

溫習筆記特色🌟

出面一般 Econ 教科書嘅內容通常冗長同繁複,令大家不知點樣入手背重點😖

哋 Breakfree Education 推出一系列五個 volume 嘅精選 Econ notes,只係142頁,就 cover 晒全個 Econ core 嘅 syllabus。

🌟 入面每頁都係重點,包括咗同學一定要背的 concept 以及答題技巧

隨書附上 DSE 相對應的題目及 marking scheme,令同學清到 concept 之餘又可以訓練到答題技巧,真係「一鳥二石」啊😆

——————

溫習筆記內容📖 

呢份筆記涵蓋 Macroeconomics 嘅內容,課題包括:

Ch.1: GDP and GNP
Ch.2: General Price Level
Ch.3: Unemployment, Inflation, Business Cycle
Ch.4: AD AS
Ch.5 Changes in AD AS
Ch.6: Government Fiscal Policy

——————

呢個系列亦包括以下筆記:

- Volume 4 (Macroeconomics I) (此筆記)

有興趣嘅同學可以按以上連結,瀏覽及購買相關溫習筆記~

——————

⚡️買得多,平得多折扣優惠⚡️

呢個系列嘅 Economics Notes 溫習筆記分為五個 volume, 同學可以按照自己嘅需要,購買不同冊數💁🏻‍♀️💁🏻‍♂️

Volume 1-5 均價 $100 (soft copy) / $110 (hard copy), 但每買多一冊就會減 $10,買得多,平得多!

以下用購買 soft copy 做例子:

1. 只購買【1本】筆記
→ 正價 $100

2. 購買【2本】筆記 
→ 第一本 $100,第二本 $90 
= 總共 $190

3. 購買【3本】筆記 
→ 第一本 $100,第二本 $90,第三本 $80
= 總共 $270

4. 購買【4本】筆記 
→ 第一本 $100,第二本 $90,第三本 $80,第四本 $70 
= 總共 $340

5. 購買【全套5本】筆記 
→ 第一本 $100,第二本 $90,第三本 $80,第四本 $70,第五本 $60 
= 只需要 $400!

➡️ 如何享用優惠?
只需要將相應數量嘅溫習筆記加入購物車,結帳時就會自動計算優惠🥳

——————

資源類別:
溫習筆記 (A4 size)

筆記語言:
只有英文版

筆記規格:
提供 soft copy 或 hard copy 筆記

筆記內頁:
黑白印刷

筆記頁數:
共38頁

關於作者 Breakfree Education (Alex Sir):
- 畢業於名校喇沙書院
- 就讀香港大學言語治療及聽力學
- DSE 成績如下: Chem 5** Bio 5** Econ 5** 
- DSE Econ DBQ essay 獲得滿分 14/14 
- DSE Chem MC 獲得滿分 36/36
- Chem, Bio 及 Econ 於校內考試頭10名
✅ 以上作者資歷已通過 NoteSity 團隊核實

作者其他資歷:
- Chem 中六模擬試全級第一 
了解更多
送貨及付款方式

送貨方式

  • 順豐智能櫃取件*
  • 順豐站取件*
  • 順豐營業點取件*
  • 順豐送貨上門*
  • 7-11便利店取件(經順豐速運)*
  • 電子版筆記(1-2個工作天內送出)
  • OK便利店取件(經順豐速運)*

付款方式

  • 支付寶 Alipay HK
  • 信用卡
  • PayMe
  • 八達通
  • 網上轉帳 (轉數快 (FPS)、銀行網上轉帳或 PayMe
  • 銀行入數(線下付款)
  • 支付寶(中國)
  • 微信支付
顧客評價
{{'product.product_review.no_review' | translate}}

相關產品